-
[baekjoon]C언어 1991번 (트리 순회)알고리즘 & 자료구조/코딩테스트 2021. 1. 28. 18:10
문제
이진 트리를 입력받아 전위 순회(preorder traversal), 중위 순회(inorder traversal), 후위 순회(postorder traversal)한 결과를 출력하는 프로그램을 작성하시오.

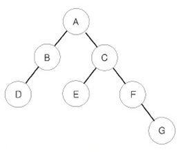
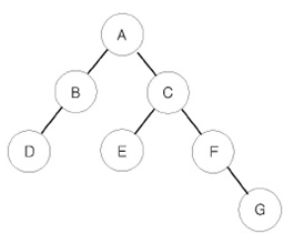
예를 들어 위와 같은 이진 트리가 입력되면,
- 전위 순회한 결과 : ABDCEFG // (루트) (왼쪽 자식) (오른쪽 자식)
- 중위 순회한 결과 : DBAECFG // (왼쪽 자식) (루트) (오른쪽 자식)
- 후위 순회한 결과 : DBEGFCA // (왼쪽 자식) (오른쪽 자식) (루트)
가 된다.
입력
첫째 줄에는 이진 트리의 노드의 개수 N(1≤N≤26)이 주어진다. 둘째 줄부터 N개의 줄에 걸쳐 각 노드와 그의 왼쪽 자식 노드, 오른쪽 자식 노드가 주어진다. 노드의 이름은 A부터 차례대로 영문자 대문자로 매겨지며, 항상 A가 루트 노드가 된다. 자식 노드가 없는 경우에는 .으로 표현된다.
출력
첫째 줄에 전위 순회, 둘째 줄에 중위 순회, 셋째 줄에 후위 순회한 결과를 출력한다. 각 줄에 N개의 알파벳을 공백 없이 출력하면 된다.
예제 입력 1 복사
7
A B C
B D .
C E F
E . .
F . G
D . .
G . .
예제 출력 1 복사
ABDCEFG
DBAECFG
DBEGFCA
더보기이진 트리 순회
1.중위 방문(in-order travers)
: 왼쪽 서브 트리 -> 루트 노드 -> 오른쪽 서브 트리
2.전위 방문(pre-order traverse)
:루트 노드 -> 왼쪽 서브 트리 -> 오른쪽 서브 트리
3.후위 방문(post-order traversal)
:왼쪽 서브 트리 -> 오른쪽 서브 트리 -> 루트 노드
#include <stdio.h> #include <stdlib.h> typedef struct node { char data; struct node *left; struct node *right; } node; node *create(char c) { node *n = (node *)malloc(sizeof(node)); n -> left = NULL; n -> right = NULL; n -> data = c; return n; } void preorder(node *o) { //전위 방문 if(o == NULL) {return;} printf("%c", o->data); preorder(o->left); preorder(o->right); } void inorder(node *o) //중위 방문 { if(o == NULL) {return;} inorder(o->left); printf("%c", o->data); inorder(o->right); } void postorder(node *o) //후위 방문 { if(o == NULL) {return;} postorder(o->left); postorder(o->right); printf("%c", o->data); } int main(void) { node * root[27]; int n; char a,b,c, arr[100][2]; scanf("%d", &n); for(int i = 0; i < n; i++) { scanf(" %c %c %c", &a, &b, &c); arr[i][0] = b; arr[i][1] = c; //[i][0]왼쪽 자식 노드의 값 , [i][1]오른쪽 자식 노드의 값 root[i] = create(a); //노드 생성 } for (int i = 0; i < n; i++) { for (int j = 0; j < n; j++) { //배열에 저장된 값과 노드의 데이터(root->data)가 같을 때 그 노드를 왼쪽 자식노드로 저장 if (arr[i][0] == root[j]->data) //왼쪽 자식 노드 arr[i][0]와 root[j]->data 같은 값을 가지면 자식노드로 root[i]->left = root[j]; //배열에 저장된 값과 노드의 데이터(root->data)가 같을 때 그 노드를 오른쪽 자식노드로 저장 if (arr[i][1] == root[j]->data) root[i]->right = root[j]; } } preorder(root[0]); printf("\n"); inorder(root[0]); printf("\n"); postorder(root[0]); return 0; }728x90반응형'알고리즘 & 자료구조 > 코딩테스트' 카테고리의 다른 글
[baekjoon]11399번 ATM (C++) (0) 2021.01.29 [baekjoon]2839번 설탕 배달 c++ (0) 2021.01.29 [baekjoon]C언어 10845번 (큐) (0) 2021.01.27 [baekjoon] 10828번 스택 (스택) (0) 2021.01.26 [프로그래머스] 완주하지 못한 선수 (0) 2021.01.25